Task 1.2: Fundamental limits of fractal miniature devices
Participating partners: |
UPC |
ROME |
Person-months: |
5 |
3 |
This task is aimed at analysing whether the fundamental limit of radiation Q factor of small antennas holds even for fractal structures. Similar problems of fundamental nature can hardly be approached exclusively by means of numerical simulations, and the renormalization approach to be developed in task 2.1 may provide an useful toolbox for framing these issues.
Introduction
Since the publication of [Puente, 1997], [Cohen, 1997], [Puente, 1998] and [Puente-Baliarda,2000] fractals deserved great attention. The general feeling about the seemingly unlimited potential of these geometries able to reduce their electrical size, and even able to approach their performance to a fundamental limit, was the source of such interest.
In the frame of the Fractalcoms Project, Task 1.2 is essentially addressed to the assessment of how effective is the occupancy of the volume inside the fictitious sphere that encloses a fractal device. This measure of effectiveness is evaluated with the help of a figure of merit called quality factor Q, that is related with the fractional bandwidth of the device.
The closeness of fractal devices to the fundamental limit established decades ago is also analysed and compared with standard Euclidean geometries to check the expectations put on these innovative designs.
Loss efficiency was also an important parameter to study in this task due to the theoretical infinite lengths that designs could reach and their high ohmic losses. Although practical applications pose a technological limitation in the iterative design procedure of these geometries (the intricacy of the shape of antennas and filters is limited), ohmic losses still play an important role on efficiency and insertion losses in these devices.
The existence of less restrictive values for the fundamental limit is explored. A more practical limit comes up after a multi-objective optimisation technique.
Fractal Dimension or Topology
Results from Task 1.1 “Understanding fractal electrodynamics phenomena” revealed that fractal dimension does not play a role in the expected improvement of the radiation performance of self-resonant pre-fractal wire monopoles. On the contrary, the use of pre-fractals with large fractal dimension for miniaturizing antennas provides worst performances than certain Euclidean designs. Although increasing the fractal dimension of antennas allows greater miniaturization ratios, poorer values of efficiencies and quality factors are achieved, obtaining unpractical designs for the vast majority of applications. Task 1.1 assessed that like Euclidean antennas, topology is what actually matters when designing an electrically small antenna.
These conclusions are the result from the measurements displayed in Figures 11, 12 and 13. Fig. 11 summarizes the radiation performance of pre-fractal designs according to their fractal dimension and iteration. Their behaviour is compared with several straight monopoles loaded on their top with meander lines. The plot shows that better performances are achieved with the Euclidean monopoles for the same electrical size at resonance.
Figures 12 and 13 show the behaviour of several pre-fractals (with fractal dimension 1.58 and 2, respectively) generated with the same Iterative Function System (IFS) algorithm but with different initiators. Both figures agree in the fact that bending a continuous wire is suitable to reach greater miniaturization ratios. However, the radiation performance differs according to the topology of the structure (whether it is a bended wire structure or it contains loops) even when they have the same fractal dimension.
Figure 11. Measured quality factor and radiation efficiency maps of pre-fractals with different fractal dimension compared with meander line loaded monopoles. The solid black line shows the theoretical fundamental limit.

Figure 12. Measured quality factor and efficiency maps of pre-fractals “grown” with the Sierpinski gasket generator (D=1.58) and with different initiators (displayed in the figure). The solid black line shows the theoretical fundamental limit.
In the frame of this task we usually worked with planar designs.
They are easily simulated and fabricated with standard techniques for manufacturing
printed circuit boards for electronics circuits. Extending the previous conclusions
to three dimensional pre-fractal designs should increase the effects of enlarging
wire lengths and storing electromagnetic energy in the vicinity of the antenna.
Therefore, efficiency and fractional bandwidth will decrease faster for these
pre-fractal designs than for planar monopoles. These expectations have been
proved after the analysis of a three dimensional Hilbert monopole (see Deliverable
D1 “Task 1.1 Final Report”).
The practical bandwidth limit
In previous sections we have seen that the fundamental limitation used in practice as a reference is far from the limit obtained with actual designs, either Euclidean or fractal. Therefore, it would be useful to determine more realistic limits for antennas. We have chosen to apply an heuristic mathematical method to obtain extrema and to asses whether Euclidean geometries are capable of combining miniaturization and closeness to the fundamental limit.

Figure 13. Measured quality factor and efficiency maps of pre-fractals “grown” with different IFSs. All the fractals have the same fractal dimension (D=2). The solid black line shows the theoretical fundamental limit.
In particular we wanted to obtained a more realistic practical limit for the
Q value of small antennas and to compare it with the theoretical one
given by Chu. With this aim a multi-objective Genetic Algorithm (GA) tool has
been applied in conjunction with the numerical electromagnetic code (NEC) to
the optimisation of wire antennas in terms of the Q factor, but having
at the same time a small electrical size and high efficiency.
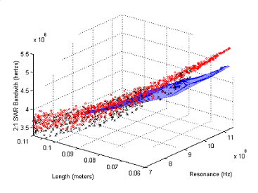
Planar meander line and zigzag type monopoles (restricted to 12 wire segments) inscribed into an hemisphere of fixed radius (Fig. 14) have been designed using the previously described multi-objective optimisation technique based on GA. Electrical size at resonance, efficiency and quality factor are the parameters that manage the evolution of the algorithm. Both types of monopoles are chosen because of their checked suitability to fabricate miniature antennas. After the optimisation procedure, a set of optimum solutions (that survived the evolutionary procedure of optimisation) have been found by the algorithm. The Pareto front of this set of solutions is a surface that is displayed in Figure 15, where the expected performance of each design is shown in terms of SWR versus the resonant frequency and the wire length of each antenna. In order to facilitate the visualization and understanding of the results we just plot, in Figure 16, the efficiency and Q factor of a set of individuals selected from the Pareto surfaces. In particular the individual with a lower Q has been chosen.

Figure 14. Example of meander and zigzag type antennas. The dotted black lines show the values of wire segments lengths.
Figures 15 and 16 provide a practical limit more realistic than Chu’s for the design of small antennas that fits in the half circle of radius a and in the range of frequencies analysed. The results show that the miniaturization of the antenna (the reduction of its electrical size ka) is translated into a worsening its radiation performance: efficiency and fractional bandwidth decrease reaching unpractical values for the vast majority of common applications. Although their radiation pattern and directivity remains unchanged, the loss efficiency of the structures reduces enormously the gain of the designs.

Figure 15. Pareto front of a multi-objective optimisation
The Pareto fronts in Fig. 16 (gren and blue lines) represent the best performance that a planar self-resonant wire monopole can reach, that is, the practical bandwidth and efficiency limitations. The theoretical fundamental bandwidth limit (black line) is far away. Fig. 16 also includes a plot of the performance of a Hilbert planar monopole for iterations 1 to 4 (red line), to show their closeness to the practical limits for efficiency and quality factor.
Figure 16. Quality factor (left) and efficiency (right) plots for a set of individuals with lower Q extracted from the Pareto front. Both are compared with the performance of a planar Hilbert design.
All the results displayed in the plots have been computed for
designs with the same wire radius. Slightly more efficient designs are expected
by increasing the wire radius of the antennas. Obviously this improvement is
expected both for the Euclidean and the pre-fractal monopoles.
A recently published paper [Thiele, G.A., Detweiler, P.L., Penno, R.P.: “On the lower bound of the radiation Q for electrically small antennas”, IEEE Transactions on Antennas and Propagation, June 2003, 51, (6), pp. 1263 –1269] estimates a more realistic lower bound for the fundamental limit on the radiation Q. This prediction is based in the assumption of a sinusoidal current distribution along an electrically small antenna, in contrast with the classical Chu and McLean approach where an Hertzian dipole with a uniform current distribution was considered. Fig. 17 shows that the practical bandwidth limit found in this task agrees very well with the new theoretical limit recently found by Thiele et al.

Figure 17. Fundamental limit of radiation Q for a sinusoidal current distribution (black continuous line) along a wire. This limit is compared with the classical limit by Chu and McLean (black dashed line). Both limits are compared with measured lossless Q of pre-fractal monopoles of different fractal dimension (left plot) and computed Q of genetically designed planar monopoles (right plot).
Task conclusions